일 | 월 | 화 | 수 | 목 | 금 | 토 |
---|---|---|---|---|---|---|
1 | 2 | 3 | 4 | |||
5 | 6 | 7 | 8 | 9 | 10 | 11 |
12 | 13 | 14 | 15 | 16 | 17 | 18 |
19 | 20 | 21 | 22 | 23 | 24 | 25 |
26 | 27 | 28 | 29 | 30 | 31 |
- Leet Coding Challenge
- 알고리즘문제풀이
- Trie
- 릿코드
- 스위프트
- 파이썬
- IOS
- 프로그래머스
- leet code
- 이산신호처리
- 독서노트
- 코딩테스트
- DTFT
- 전자공학
- 카카오 코딩테스트
- 트라이
- 코테
- 알고리즘
- DSP
- 백준
- 신호처리
- PYTHON
- backjoon
- SWIFTUI
- leetcode
- 코테준비
- SWIFT
- 알고리즘 문제풀이
- dft
- 컨볼루션
- Today
- Total
매일 매일 성장하는 섭섭군
[Seop's 강의노트] 이산신호처리 _ CTFS 연속시간 푸리에급수. 본문
오늘은 푸리에 분석 중에서 CTFS에 관련해서 알아보도록 하자.
CTFS(Continuous Time Fourier Series) 를 한국어로 번역해 보자면
‘연속시간 푸리에 급수’ 이다.
CTFS는 연속주기신호를 대상으로 만들어졌다. 그러니 연속주기 신호에
대해서 간단하게 알아보자.
x(t)=x(t+T)
다음 식에 대해서 이해가 되는가?
즉 T초마다 같은 값이 나오는 신호라는 의미이다.
여기서 ’T’를 기본주기 라고 한다. (2T, 4T 모두 주기가 될 수 있다.)
단위는 초[sec]가 된다.
주기를 알았으니 주파수를 알아볼 수 있다.
주파수는 1/주기 즉 ‘1/T = f’이다 단위는 [1/sec=Hz]가 된다.
쉬워보이지만 아주 중요한 개념이므로 다시한번 짚고 넘어가자.
T : 기본주기 [sec]
f : 주파수 = 1/T [1/sec=Hz]
그럼 가장 기본적인 연속주기 신호를 한번 알아보도록 하자.
x(t) = ACos(2ft)
코사인 신호이다 이를 오일러의 공식을 사용하여 변화시켜 보면
다음과 같이 변화하게 된다.
여기서 우리는 이미 푸리에 분석의 목적을 달성 하였다.
푸리에 분석의 목적은 x(t) 라는 신호에 어떤 주파수 성분이
얼만큼 들어있는지 알아내는 것이 목적이다.
위의 식을 분석해 보면 크기는 A/2 이며
주파수 성분은 f 라는 것을 알 수 가 있다. (주파수=2f[rad/sec])
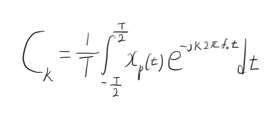
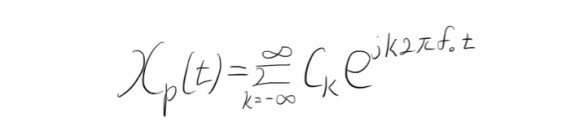
그렇다면 일반적인 CTFS 의 표현법을 알아보자.
다음 식이 일반적인 CTFS 의 모습이다.
크기 : Ck
주파수 : k2f0
식으로 표현하니 다소 복잡해 보이지만 자세히 들여다 보면
생각보다 복잡하지 않다는 것을 알 수 있다.
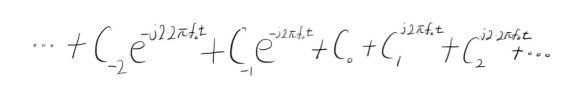
다음은 위의 식을 조금 풀이해 논 모습이다.
Cos 신호를 오일러의 공식을 이용하여
변환 한 모습이랑 비슷하지 않은가?
C-1 과 C1 의 값은 A/2 의 크기를 가지고 있으며
나머지 값들은 모두 0의 값을 갖는 것이다.
이를 보면 다음과 같은 사실을 알 수가 있다.
모든 연속 주기신호는 기본주파수의 정수배 주파수를 갖는
정현파의 합으로 표현 할 수 있다.
이것이 푸리에 시리즈의 물리적인 의미라고 할 수 있다.
일반적인 CTFS 에서 Ck의 값을 알고 싶다면 다음과 같은 식이 있다.
k번째 주파수 성분의 크기를 알고자 할때 다음의 식을 이용하면 된다.
오늘은 푸리에 분석 중에서
연속시간 푸리에 급수에 관한 것을 알아보았다.
다음에는 CTFT, DTFT에 관하여 알아보도록 하겠다.
'디지털신호처리, DSP' 카테고리의 다른 글
[Seop's 강의노트] 이산신호처리 _ DTFT, 이산시간 푸리에 변환 (0) | 2019.10.23 |
---|---|
[Seop's 강의노트] 이산신호처리 _ CTFT, 연속시간 푸리에 변환 (0) | 2019.10.23 |
[Seop's 강의노트] 이산신호처리 _ 푸리에분석 (0) | 2019.10.23 |
[Seop's 강의노트] 이산신호처리 _ 복소수 (0) | 2019.10.23 |
[Seop's 강의노트] 이산신호처리 _ 정현파란? (0) | 2019.10.23 |