| 일 | 월 | 화 | 수 | 목 | 금 | 토 |
|---|---|---|---|---|---|---|
| 1 | ||||||
| 2 | 3 | 4 | 5 | 6 | 7 | 8 |
| 9 | 10 | 11 | 12 | 13 | 14 | 15 |
| 16 | 17 | 18 | 19 | 20 | 21 | 22 |
| 23 | 24 | 25 | 26 | 27 | 28 | 29 |
| 30 |
- 파이썬
- 알고리즘
- 컨볼루션
- 알고리즘 문제풀이
- dft
- SWIFTUI
- 독서노트
- 카카오 코딩테스트
- IOS
- 프로그래머스
- SWIFT
- 알고리즘문제풀이
- leetcode
- PYTHON
- 코테준비
- 이산신호처리
- 전자공학
- Trie
- 릿코드
- 코딩테스트
- backjoon
- 코테
- 백준
- Leet Coding Challenge
- DTFT
- leet code
- 트라이
- 신호처리
- 스위프트
- DSP
- Today
- Total
매일 매일 성장하는 섭섭군
[Seop's 강의노트] 이산신호처리 _ CTFT, 연속시간 푸리에 변환 본문
지금우리는 푸리에 분석 이라는 툴에 대해서 배우고있다.
푸리에 분석의 목적은 신호에 어떤 주파수 성분이 들어있는지?
또 얼만큼씩 들어있는지? 를 알아보는 것이다.
처음 으로 CTFS _ 연속시간 푸리에 급수에 관해서 배웠다.
이는 연속주기신호 xp(t)에 관해서 푸리에 분석을 해본 것이었다.
자세한 사항은 링크를 참조해보면 알 수 있을 것이다.
https://richard25.tistory.com/6
[Seop's 강의노트] 이산신호처리 _ CTFS 연속시간 푸리에급수.
오늘은 푸리에 분석 중에서 CTFS에 관련해서 알아보도록 하자. CTFS(Continuous Time Fourier Series) 를 한국어로 번역해 보자면 ‘연속시간 푸리에 급수’ 이다. CTFS는 연속주기신호를 대상으로 만들..
richard25.tistory.com
오늘은 연속 비주기 신호 x(t) 에관해서 알아볼까 한다.
연속 비주기 신호란 무엇일까? 진짜 주기가 없는 신호일까?
이해를 돕기 위해서 연속주기신호와 비교해서 설명해 보겠다.

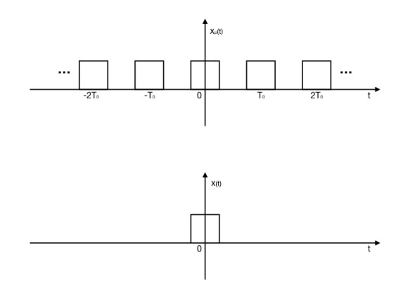
위쪽 그래프 : 구형파열(연속주기신호), 아래쪽 그래프 : 구형파(연속비주기신호)
먼저 구형파 열에 관해서 살펴보자면 주기가 T0 인 구형파가 계속해서 생성되는 신호이다. 그래프로 보아도 그렇고 실제로도 그렇다.
연속 비주기 신호인 구형파에 관해서 살펴보자. 주기가 없어 보인다.
그렇게 보인다. 다음에 생성되는 구형파도 없으며 이전에 생성된 구형파도 없어 보인다. 과연 진짜 그럴까?
가령 주기가 100년인 구형파열이 있다고 가정해 보자. 위 두 신호는
10초까지 보인 그린 그래프로 가정한다면 주기가 100년인 구평파열은
두번째 그래프 처럼 그려질 것이다. 주기신호임에도 불구하고 비주기 신호처럼 보이는 것이다. 그래서 우리는 비주기 신호를 주기가
없는 신호라기 보다는 주기가 무한대로 긴 신호를 비주기 신호라고 한다.
즉 주기 T0 -> ∞ 로 향하게 한다고 한 것이다.
주기가 무한대로 향하게 됨으로 인해서 바뀌게 되는 것들을 살표보자
주기 -> 비주기
T0 -> ∞
xp(t) -> x(t)
그리고 가장 중요하게 바라봐야 할 것이 주파수 또한 영향을 받는 것이다. 당연한 사실이다. f0 = 1/T0 이다 그리고 w0=2f0 이다.
주기가 무한대로 향하게 된다면 기본주파수는 ‘0’의 값으로 수렴하게 된다.각주파수 또한 ‘0’으로 수렴하게 된다.
즉 기본주파수의 의미가 사라진다는 것이다.
이말은 즉 ‘선스펙트럼’ 에서 선과 선 사이의 간격이 없어지게 된다는 것이다.

다음 그래프는 연속주기함수인 구형파열을 푸리에 변환시킨 모습이다. 점과 점사이의 간격은 w0 이므로 주기가 짧으면 짧을수록 점과 점
사이의 간격은 멀어지고, 주기가 길어진다면 점과 점 사이의 간격은 줄어들게 된다.
(w0=2f0, f0 = 1/T0 )
즉 주기가 무한대로 향해진다면 점과 점 사이의 간격은 ‘0’으로 수렴할 것이며 점 찍어진 그래프가 그려지는 것이 아니라
실선으로 된 연속된 그래프가그려지게 된다.

구형파를 푸리에 변환시키게 되면 다음과 같은 연속된 그래프가 그려지게 된다.
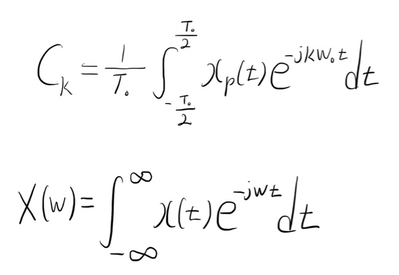
그래프로 이해를 도왔다면 이제 식으로서 정리를 해보도록 하자.
|
연속주기신호 |
연속주기신호 |
연속비주기신호 (T0 ->∞) |
|
시간영역 |
xp(t) |
x(t) |
|
주파수 영역 |
kw0 |
w |
|
신호 성분의 크기 |
Ck |
X(w) |

ℱ[x(t)] = X(w)
식으로 간단히 정리를 하면 다음과 같이 정리를 할 수 있다.
X(w) 를 우리는 CTFT(Continuous Time Fourier Transform) 이라고 부르고 한국어로 해석하자면
연속시간 푸리에 변환이라고 한다.
푸리에 분석에 관해서 공부할 때 잊지 말아야 하는 것이
어떤 주파수 성분이 들어있는지?
얼만큼 들어있는지?
이 두가지이다.
연속 비주기 신호에서는 w가 주파수 성분을 의미해주고
X(w)가 얼만큼 들어있는지 알려주고 있다.
위 목적을 잊지말고 푸리에 분석에 관해서 공부한다면 좀 더 효과적인 공부가 진행될 것 같다.
'디지털신호처리, DSP' 카테고리의 다른 글
| [Seop's 강의노트] 이산신호처리 _ 표본화(Sampling) (0) | 2019.10.23 |
|---|---|
| [Seop's 강의노트] 이산신호처리 _ DTFT, 이산시간 푸리에 변환 (0) | 2019.10.23 |
| [Seop's 강의노트] 이산신호처리 _ CTFS 연속시간 푸리에급수. (0) | 2019.10.23 |
| [Seop's 강의노트] 이산신호처리 _ 푸리에분석 (0) | 2019.10.23 |
| [Seop's 강의노트] 이산신호처리 _ 복소수 (0) | 2019.10.23 |