| 일 | 월 | 화 | 수 | 목 | 금 | 토 |
|---|---|---|---|---|---|---|
| 1 | ||||||
| 2 | 3 | 4 | 5 | 6 | 7 | 8 |
| 9 | 10 | 11 | 12 | 13 | 14 | 15 |
| 16 | 17 | 18 | 19 | 20 | 21 | 22 |
| 23 | 24 | 25 | 26 | 27 | 28 | 29 |
| 30 |
- 코테준비
- 신호처리
- 스위프트
- 백준
- IOS
- 릿코드
- 이산신호처리
- backjoon
- dft
- 트라이
- 독서노트
- leet code
- 알고리즘 문제풀이
- 컨볼루션
- 파이썬
- 코딩테스트
- 프로그래머스
- SWIFT
- 알고리즘
- DSP
- Leet Coding Challenge
- 코테
- Trie
- DTFT
- leetcode
- 전자공학
- SWIFTUI
- PYTHON
- 카카오 코딩테스트
- 알고리즘문제풀이
- Today
- Total
매일 매일 성장하는 섭섭군
[Seop's 강의노트] 이산신호처리 _ DTFT의 특징 및 성질 본문
지금 우리는 푸리에 분석에 관하여 배우고 있다.
지금까지 배웠던 것을 간단히 정리해 보자면 다음과 같다.
CTFS - 연속 시간 푸리에 급수 _ 연속 주기신호
V
T(주기)를 무한대로 보낸다.
V
CTFT - 연속 시간 푸리에 변환 _ 연속 비주기 신호
V
표본화(Sampling)
V
DTFT- 이산 시간 푸리에 변화 _ 이산 비주기 신호
이러한 과정을 거쳐서 현재 DTFT에 관하여 공부하고 있다.
오늘은 DTFT의 특징 및 성질에 관하여 알아보고자 한다.
DTFT 의 가장 큰 특징은 두가지로 볼 수 있다.
1. 반복성 , 주기성을 가진다.
저번 포스팅에서도 설명이 되어있듯이
2파이 마다 반복하는 것을 알 수 있다.
2. 모든 오메가(주파수)에 대해 스펙트럼이 존재한다. 즉 오메가에 대해서 연속이다.
- 이것 때문에 실제 사용이 불가하다 무한대까지 같은 값이 반복되는 신호는 없기 때문이다.
이 점을 보완하기 위하여 DFT, FFT 라는 알고리즘이 있지만
추후에 같이 배우도록 하겠다.
위 두가지 특성을 가지고 있는 DTFT를
모든 이산 비주기 신호에 대해서 사용 할 수 있을까?
이러한 질문을 하는 것을 보면 눈치를 챈 사람이 있을 것이다.
답변은 No 이다.
지금부터 어느 때 DTFT를 사용할 수 있을지 알아보도록 하자.
예시를 들어서 설명을 해보도록 하겠다.
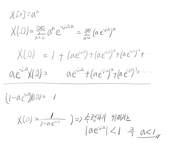
이산 비주기 신호 ‘ x[n] = a^n ’ 있다.
이 신호는 어떻게 그려지는가? 한가지 형태로만 그려지는가?
지수 함수 이기 때문에 a 값에 따라서
그래프의 형태는 3가지 형태로 나누어지게 된다.
a > 1
a = 1
a < 1
위와 같이 나누어진 a 를 통해서 다음 그래프들을 그려볼 수 있다.

파란색 선이 a>1 일때 , 빨간선인 a=1,
갈색선이 a<1 일 때의 그래프들이다.
DTFT를 통해서 이것들을 한번 변환을 시도해 보자.

다음 식이 이해되지 않는 다면 그래프를 통해 직관적으로 이해할 수 있다.
DTFT는 x[n] 의 각 값들을 다 더하는 것이다.
여기에 지수함수가 곱해지긴 하지만 결론은 더해지는 것이다.
무한히 더해지는것이 값을 가져야 한다면 마지막이 있어야 한다.
범위로 정해지든 혹 점점 줄어지든가 해야 된다는 것이다.
위 식을 예시로 들자면 a = 1 인경우는 같은 값들이 계속해서
더해지게 된다. 당연히 발산하게 된다.
a > 1 보다 클때는 말할 것도 없다 . 이미 저 위로 발산하고 있다.
남은것은 a < 1작을때이다. 순차가 지날수록 점점 0에 가까워지고 있다. 이러한 그래프여야만
수렴하게되고 DTFT 를 사용 할 수 있는 것이다.
다음 식을 성립하는 이산 비주기 신호만이 DTFT를 가질 수 있다라는
사실을 우리는 알 수 있다.

DTFT의 특징을 알아봤으니 DTFT 가 가지고 있는 성질들에 대해서 한번 알아보도록 하자.
1. DTFT 는 선형 연산자 이다.
선형이라 함은 무엇일까? 직선 형태라는 의미이다.
공학을 배우는 사람들은 ‘선형성이 성립한다’ 라는 말이 나오면 바로 나와야할 것이 있는데 바로 ‘중첩의 원리’ 이다.
어떤 시스템에 대해서 선형성이다! 라고 정의되면
이 시스템은 중첩의 원리가 적용되는 시스템이다.
그렇다면 중첩의 원리가 무엇일까?
x -> System -> y // S{x} = y
다음과 같은 시스템이 있다고 하자 그리고 이 시스템은 선형적인
특징을 가진다. 즉 중첩의 원리가 적용된다.
S{c1x1 + c2x2} = c1S{x1} + c2S{x2} // 여기서 c1, c2는 상수이다.
다음과 같은 식이 성립되는 것을 중첩의 원리라고 한다.
즉 시스템에 들어가기 전에 두 변수를 더하고 상수를 곱한것과
시스템을 적용시킨 후 상수를 곱하고 더해도 값은 같다는 의미이다.
ps) 실제로 전 구간에서 선형적인 시스템은 없으므로 선형적인 구간을 따로때어내어 선형구간(Dynamic range)라고 한다.
2. 시간지연
F{x[n]} = X() 일때 F{x[n-n0]} = X()e^-jn0 가 성립한다.
즉 시간 영역에서 Time shift 가 이루어지면 주파수 영역에서는 e^-jn0 가 곱해져서 나온다는 의미이다.
3. 주파수 이동
F^-1{X()} = x[n] 이라고 할 때
F^-1{X(-F^-1{X(-0)} = x[n] e^jw0n 가 된다 .
4. 컨벌루젼(Convolution)
컨벌루션에 관한 설명은 다음 식을 보면서 같이 설명하고자 한다.

어떠한 시스템이 LTI System(인과 시불변 System)이라 했을 때 이 시스템을 통과하는 출력 y는 위와 같은 값을 가지게 된다. ‘*’ 는 곱셈 연산이
아니라 컨벌루션 연산을 의미한다.
즉 시간영역에서 컨벌루션이 DTFT를 통해서 주파수 영역으로
오게되면 복잡하지 않은 곱셈 연산으로 바뀌게 된다.
위 성질을 이용하여서 우리는 컨벌루션 연산을 좀 더
손 쉽게 연산을 할 수 있다.
이번에는 DTFT의 특성 및 성질에 관해서 배워보았다.
DTFT 를 사용가능한 신호는 어떤 신호여야 되는지?
DTFT의 성질들
선형성
시간지연
주파수 이동
컨벌루션
이 밖에도 많은 성질들이 있지만
그 중에서 알아둬야 할 개념들만 모아두었다.
다음 포스팅에서는 DTFT의 성질 중 컨벌루션에 대해서
좀 더 자세하게 알아보고자 한다.
글을 읽어주는 사람들에게 항상 감사하다.
아직 많이 부족하지만 조금이나마 도움이 되면 좋을것 같다.
'디지털신호처리, DSP' 카테고리의 다른 글
| [Seop's 강의노트] 이산신호처리 _ DFT의 개념 (0) | 2019.10.23 |
|---|---|
| [Seop's의 강의노트] LTI 시스템, 컨벌루션 이란? (0) | 2019.10.23 |
| [Seop's 강의노트] 이산신호처리 _ 표본화(Sampling) (0) | 2019.10.23 |
| [Seop's 강의노트] 이산신호처리 _ DTFT, 이산시간 푸리에 변환 (0) | 2019.10.23 |
| [Seop's 강의노트] 이산신호처리 _ CTFT, 연속시간 푸리에 변환 (0) | 2019.10.23 |