| 일 | 월 | 화 | 수 | 목 | 금 | 토 |
|---|---|---|---|---|---|---|
| 1 | ||||||
| 2 | 3 | 4 | 5 | 6 | 7 | 8 |
| 9 | 10 | 11 | 12 | 13 | 14 | 15 |
| 16 | 17 | 18 | 19 | 20 | 21 | 22 |
| 23 | 24 | 25 | 26 | 27 | 28 | 29 |
| 30 |
Tags
- 릿코드
- DTFT
- 알고리즘 문제풀이
- 알고리즘문제풀이
- DSP
- 전자공학
- 알고리즘
- 프로그래머스
- 카카오 코딩테스트
- 이산신호처리
- leetcode
- 백준
- 코테준비
- 코테
- dft
- SWIFTUI
- PYTHON
- 코딩테스트
- 컨볼루션
- Leet Coding Challenge
- 스위프트
- SWIFT
- 신호처리
- Trie
- IOS
- 파이썬
- leet code
- backjoon
- 트라이
- 독서노트
Archives
- Today
- Total
매일 매일 성장하는 섭섭군
[Leet Coding Challenge] Power of FourSolution, 2020.08.01~07 본문
알고리즘 문제풀이/LeetCode
[Leet Coding Challenge] Power of FourSolution, 2020.08.01~07
섭섭군 2020. 8. 4. 18:48반응형

이번에 풀어본 문제는 Power Of Four이란 문제입니다. 문제는 다음과 같습니다.
Account Login - LeetCode
Level up your coding skills and quickly land a job. This is the best place to expand your knowledge and get prepared for your next interview.
leetcode.com

제목에서부터 어떤 문제인지 알것 같다. 입력으로 주어지는 숫자가 4의 제곱근인지 판단하면 되는 문제다.
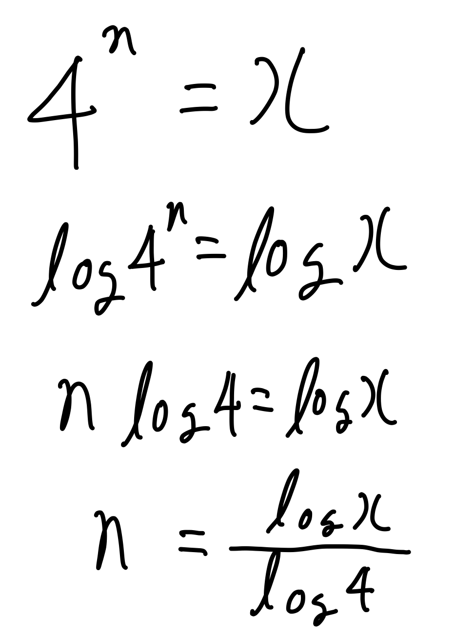
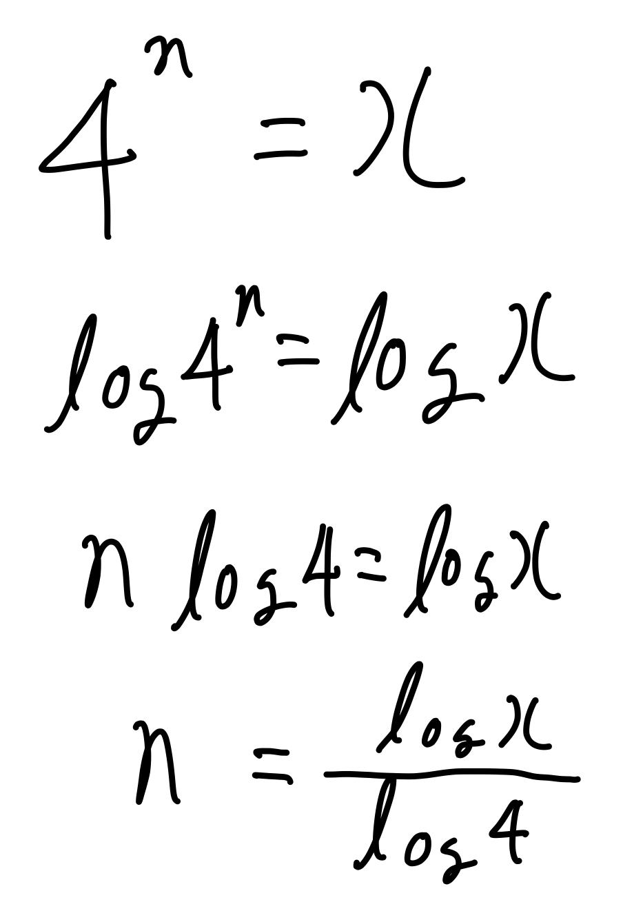
간단한 수학만 적용시키면 쉽게 풀 수 있는 문제이다. 다음 식을 보면 쉽게 이해될 것이라 판단된다.

x 가 입력이고 우리가 알고자 하는것은 n이다. 당연히 x가 음수라면 4의 제곱근으로 나올 수 없으니 음수일 경우는 배제한다.
이제 우리는 n이 정수인지만 판단하면 된다.
전체 코드는 다음과 같습니다. 질문과 피드백은 언제든 감사합니다.
import math
class Solution:
def isPowerOfFour(self, num: int) -> bool:
if num <= 0 : return False
answer = math.log10(num)/math.log10(4)
if int(answer) == answer :
return True
else :
return False
반응형
'알고리즘 문제풀이 > LeetCode' 카테고리의 다른 글
| [Leet Coding Challenge]Excel Sheet Column Number, 2020.08.08~14 (0) | 2020.08.11 |
|---|---|
| [Leet Coding Challenge] Add and Search Word - Data structure design, 2020.08.01~07 (0) | 2020.08.06 |
| [LeetCode Top Interview Questions] Happy Number (0) | 2020.08.05 |
| [Leet Coding Challenge] Valid Palindrome, 2020.08.01~07 (0) | 2020.08.04 |
| [Leet Coding Challenge] Design HashSet, 2020.08.01~07 (0) | 2020.08.03 |
Comments